Предмет: Математика,
автор: 914s
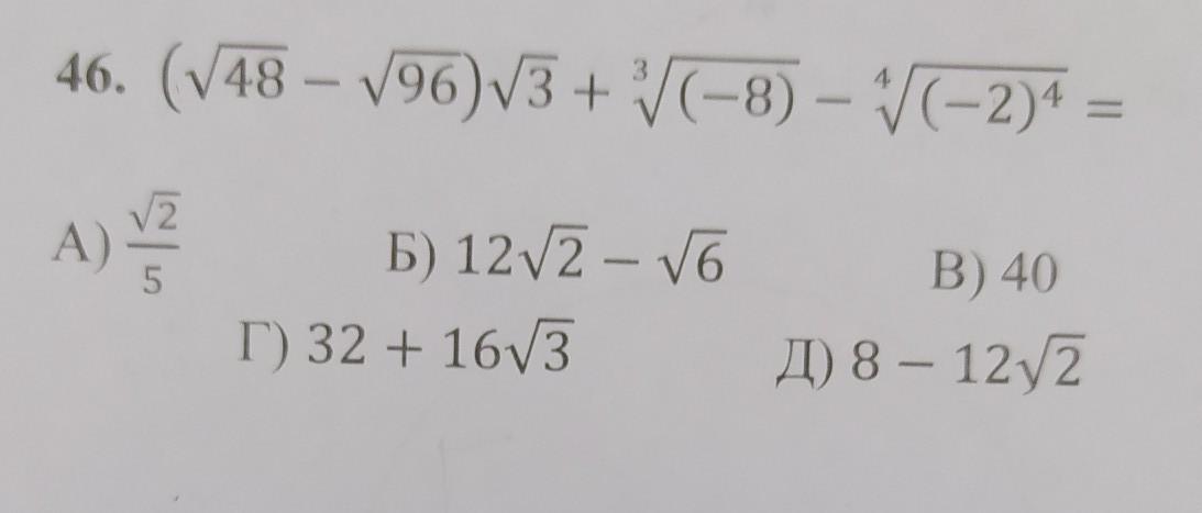
!!!!!!!!!!!! помогите решить!!!!!!!!!
Приложения:
Ответы
Автор ответа:
0
Ответ:
В
Пошаговое объяснение:
лвлалалалвлылалплаллвлвлв
914s:
кааак??
можно хотя бы кратко?))
я просто решил
по действиям
и все
хорошо, спасибо
:)
Похожие вопросы
Предмет: Математика,
автор: NashFollowMe
Предмет: Геометрия,
автор: апголодропр
Предмет: Математика,
автор: businka07
Предмет: Химия,
автор: xhdbbx
Предмет: Экономика,
автор: fedosovakseniaoyrwju