Предмет: Алгебра,
автор: den199728
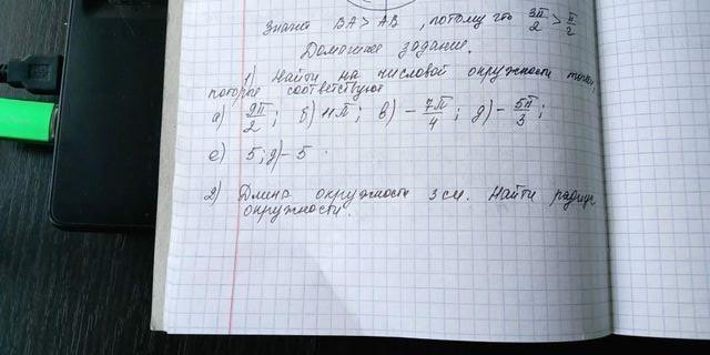
Помогите решить домашнее задание
Приложения:
Ответы
Автор ответа:
2
Ответ:
Насчет первого, как-то не очень одназначно получается. Где б, д и е прям хз
Во втором:
P=2ПR
R=P/2П
R=3/2П~0,48 см
Ответ: 0,48 см
Приложения:
den199728:
Спасибо
Похожие вопросы
Предмет: Английский язык,
автор: alinapigovacom
Предмет: Українська мова,
автор: misssamotuga
Предмет: Математика,
автор: tishenkoelza
Предмет: Алгебра,
автор: Leto71
Предмет: Математика,
автор: kikcenok