Предмет: Геометрия,
автор: Аноним
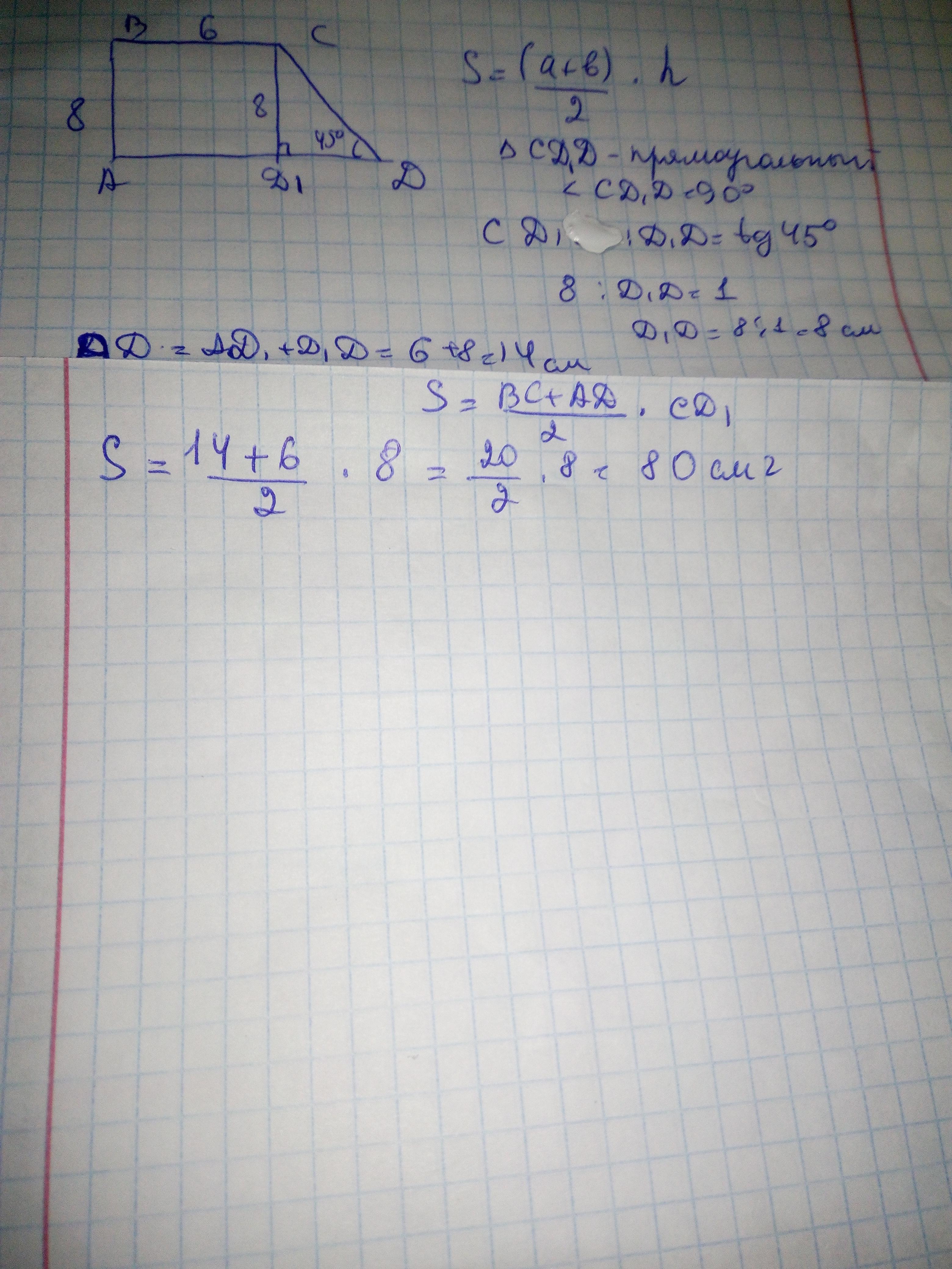
Дана прямоугольная трапеция, меньшее основание которой равно 6 см. Меньшая боковая сторона равна 8 см, а большая боковая сторона образует с основанием ∡45°.
Найди площадь трапеции.
Ответ: площадь трапеции равна см2.
срочно!!!
Приложения:
Ответы
Автор ответа:
6
Ответ:в файле
Объяснение:
Приложения:
Похожие вопросы
Предмет: Биология,
автор: LanaCool5
Предмет: Другие предметы,
автор: цветы333
Предмет: Математика,
автор: tiida2014
Предмет: География,
автор: Angel561
Предмет: Математика,
автор: няшкаюру