Предмет: Алгебра,
автор: LinaEvelina
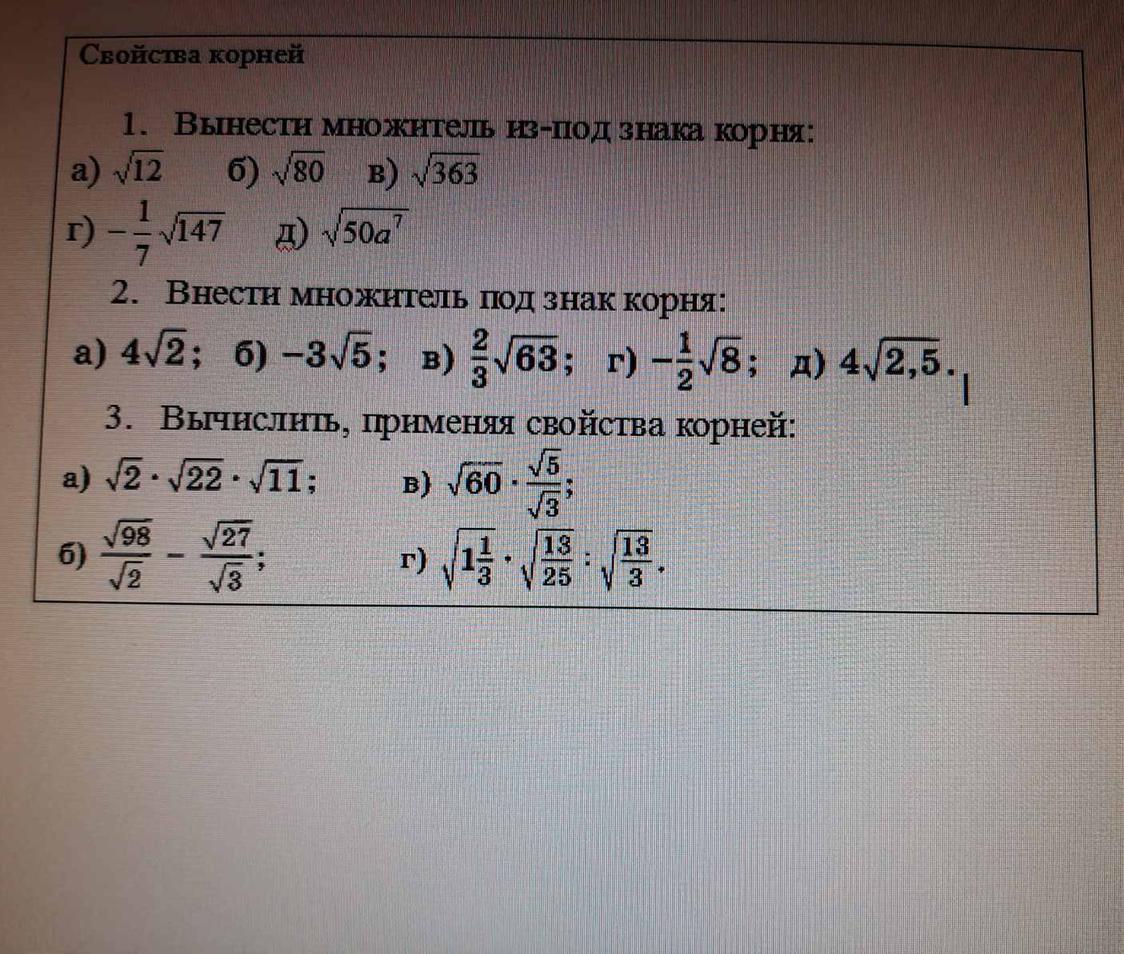
Помогите пожалуйста
Приложения:
Ответы
Автор ответа:
1
Решение на фотографиях
Приложения:
Похожие вопросы
Предмет: Химия,
автор: asyavalueva
Предмет: Математика,
автор: LIVART58
Предмет: Математика,
автор: SonyaSwaggirl
Предмет: Литература,
автор: Irinnsa2318
Предмет: Алгебра,
автор: vladik123289oyqied