Предмет: Математика,
автор: Аноним
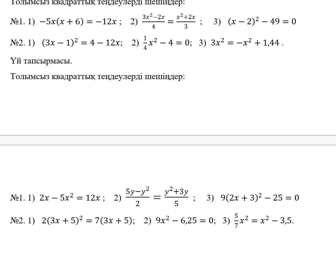
пожалуйста помогите!!!!!!!!
Приложения:
Ответы
Автор ответа:
0
5-2y =25 9= psjdhdbxnxbxbxbxb
Похожие вопросы
Предмет: Алгебра,
автор: olefirenkosvit
Предмет: Математика,
автор: vitaliytsvetko
Предмет: Математика,
автор: Gulik959595
Предмет: Математика,
автор: AlinaRei55