Предмет: Алгебра,
автор: alexdmitrievdmitriev
срочно нужно решить равенства если можно пошагово
Приложения:
Ответы
Автор ответа:
0
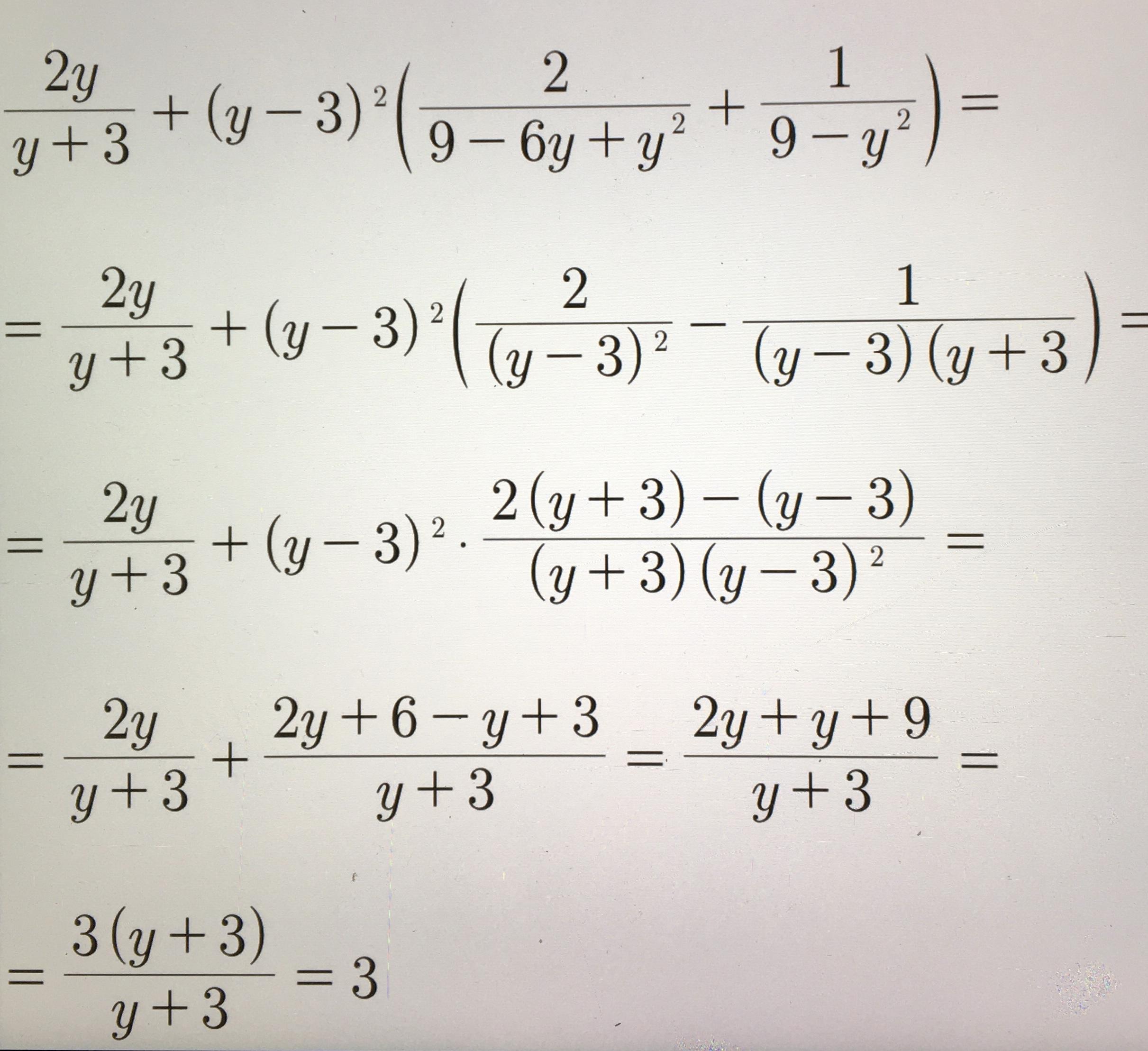
Ответ:
Объяснение:
.................................
Приложения:
ksjshb:
Помогите пожалуйста https://znanija.com/task/40109611
Похожие вопросы
Предмет: Математика,
автор: Аноним
Предмет: Другие предметы,
автор: 2005lp
Предмет: Литература,
автор: chalita1977
Предмет: Химия,
автор: meighane100oyq7g9