Предмет: Алгебра,
автор: Mercedes234
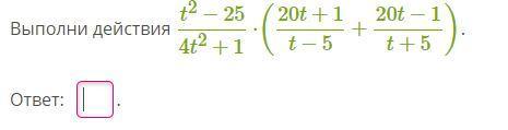
Выполни действия........................
Приложения:
Ответы
Автор ответа:
0
Ответ:
Ответ: 10x. .... ........
Автор ответа:
0
Ответ:
Будет: 10.....
BraveWitch:
Или тебе нужно было написать с объяснением ?
Похожие вопросы
Предмет: Математика,
автор: voronova070171
Предмет: Другие предметы,
автор: Kiss2001kiss
Предмет: Литература,
автор: viladochka
Предмет: История,
автор: Аноним
Предмет: Химия,
автор: Elizaveta1962