Предмет: Математика,
автор: svetlanasadykova9829
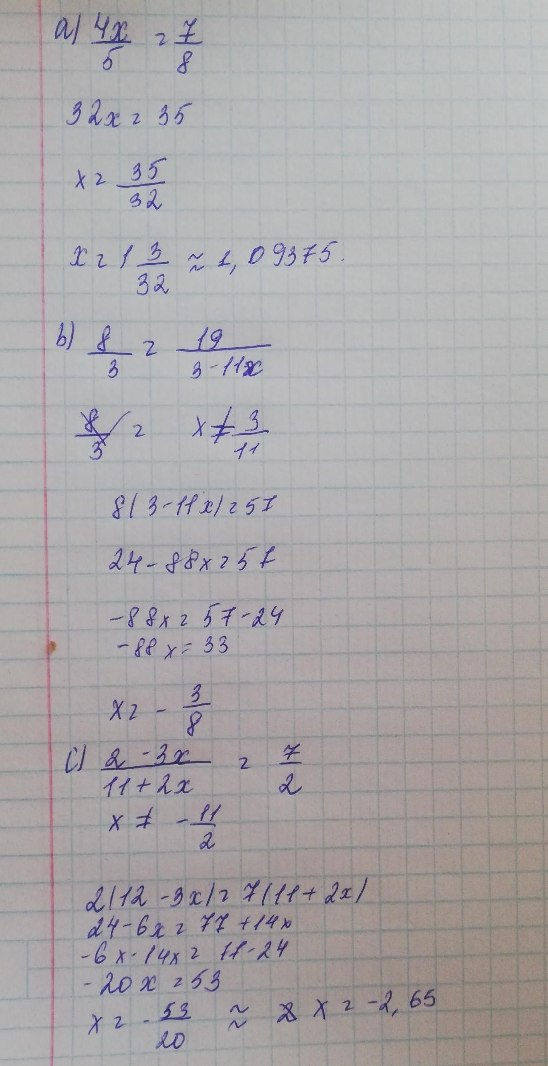
дам 20 бала помогите пожалуйста с пошаговым ответом полностью пожалуйста это очень важно только не фигню
СРОЧНО
Приложения:
Ответы
Автор ответа:
1
Ответ:
108 и 109
Пошаговое объяснение:
как то так. надеюсь все понятно
Приложения:
svetlanasadykova9829:
спасибо
Похожие вопросы
Предмет: Геометрия,
автор: NataliBin
Предмет: Химия,
автор: Maryashc
Предмет: Геометрия,
автор: sorockiilya201
Предмет: Алгебра,
автор: koroleva05a
Предмет: Математика,
автор: agil8