Предмет: Математика,
автор: sofiyakoroleva
Даю 50 + баллов
(только подробное решение!)
Вычислить следующие неопределённые интегралы методом непосредственного интегрирования:
Приложения:
Miroslava227:
1й интеграл заменой можно решить
остальные непосредственным, да
нет все непосредственным
что ж поделать раз задание такое :(
А, все, я поняла, как можно сделать
спасибо огромное!!!!!!
Ответы
Автор ответа:
1
Ответ:
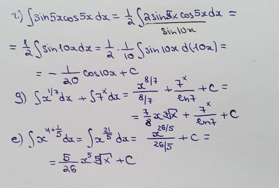
В г) добавим 2, чтобы собрать выражение по формуле двойного угла, после добавляем под знак дифференциала еще 10 и интегрируем.
Приложения:
Очень прошу, помогите с последним вопросом у меня в профиле. Буду очень благодарна. Вопрос по геометрии( очень простой, но я что-то не могу понять)
здравствуйте помогите пожалуйста с алгеброй очень надо вопрос у меня в профиле
здравствуйте. Помогите, пожалуйста ( в моем профиле)
Похожие вопросы
Предмет: Алгебра,
автор: nadejadasim007
Предмет: Математика,
автор: ojfjhfgerg
Предмет: Русский язык,
автор: Olya545
Предмет: Математика,
автор: foplm