Предмет: Алгебра,
автор: DavidAMB
Помогите с алгеброй плиз
Приложения:
Ответы
Автор ответа:
1
Ответ:
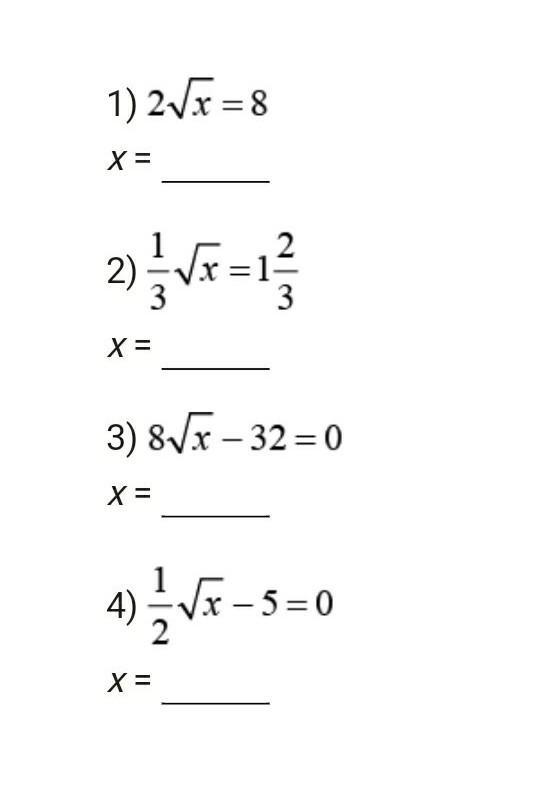
1)x=16
2)x=25
3)x=16
4)x=100
Объяснение:
Похожие вопросы
Предмет: Русский язык,
автор: smirnovpasha02
Предмет: Математика,
автор: kmkmkm
Предмет: Математика,
автор: nastyafadeeva53
Предмет: Математика,
автор: mihailovatamara
Предмет: Математика,
автор: 0Cat0Meow0