Предмет: Алгебра,
автор: salta79888
помогите очень нужно пжжжжжжжж срочно
Приложения:
Ответы
Автор ответа:
0
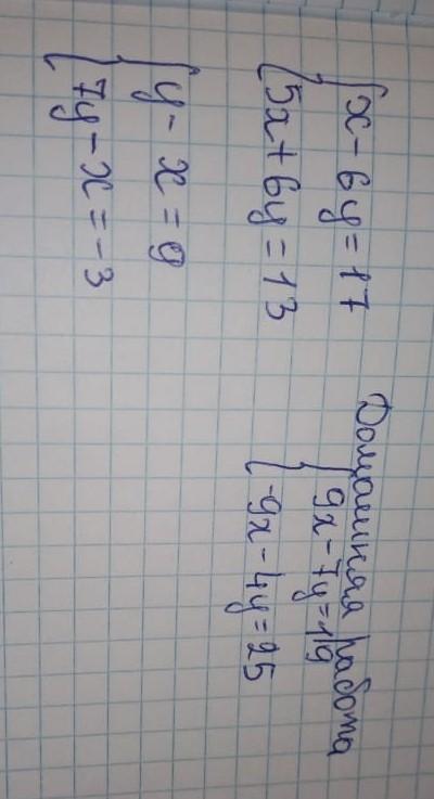
Ответ: Домашня робота [9х - 7у = 19, 9+7-6у= 10у, 9х - 10у= 19]
[9х-4у =25, 8+9-4=12, 12у+9-3=25]
Объяснение:
Похожие вопросы
Предмет: Математика,
автор: MissCatherine
Предмет: География,
автор: doombas
Предмет: Физика,
автор: Zeu5Zz
Предмет: Химия,
автор: prwerd