Предмет: Алгебра,
автор: samiraibragimova2008
Пооооооомооооогитеееее
Приложения:
albina345p:
третье
Ответы
Автор ответа:
1
Ответ:
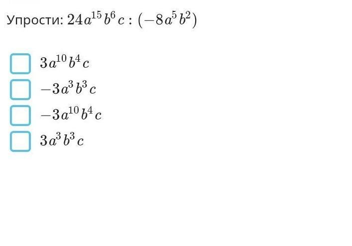
3)-3a^10b^4c
Объяснение:
milka@mess
Автор ответа:
1
Ответ:
-3a^10b^4c
Объяснение:
Похожие вопросы
Предмет: Математика,
автор: zhulkanichvera
Предмет: Математика,
автор: sonya280220021
Предмет: Другие предметы,
автор: lizenoc2004
Предмет: Геометрия,
автор: Minson
Предмет: Математика,
автор: anastasiyakuch3266