Предмет: Математика,
автор: Djon66334
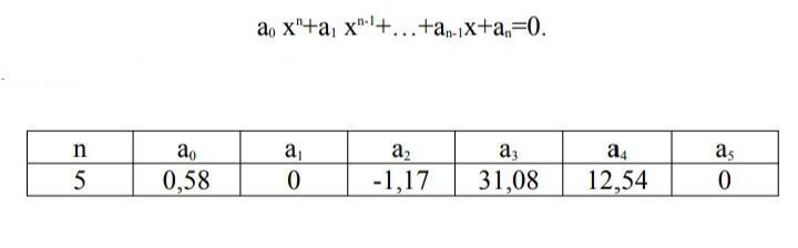
Как записать с подставкой данных это уравнение?
Приложения:
Ответы
Автор ответа:
1
Ответ:
Как записать это уравнение?
Пошаговое объяснение:
0,58х^5+0×х^4-1,17х^3+31,08х^2+12,54х+0=0
Умножаем почленно на 100:
58х^5-117х^3+3108х^2+1254х=0
Похожие вопросы
Предмет: Биология,
автор: vikakm1998
Предмет: Английский язык,
автор: anastasiaudchi
Предмет: Алгебра,
автор: vikafedosova19
Предмет: Химия,
автор: misterzhenyaz
Предмет: Математика,
автор: savvas0208