Предмет: Алгебра,
автор: bossboss1997
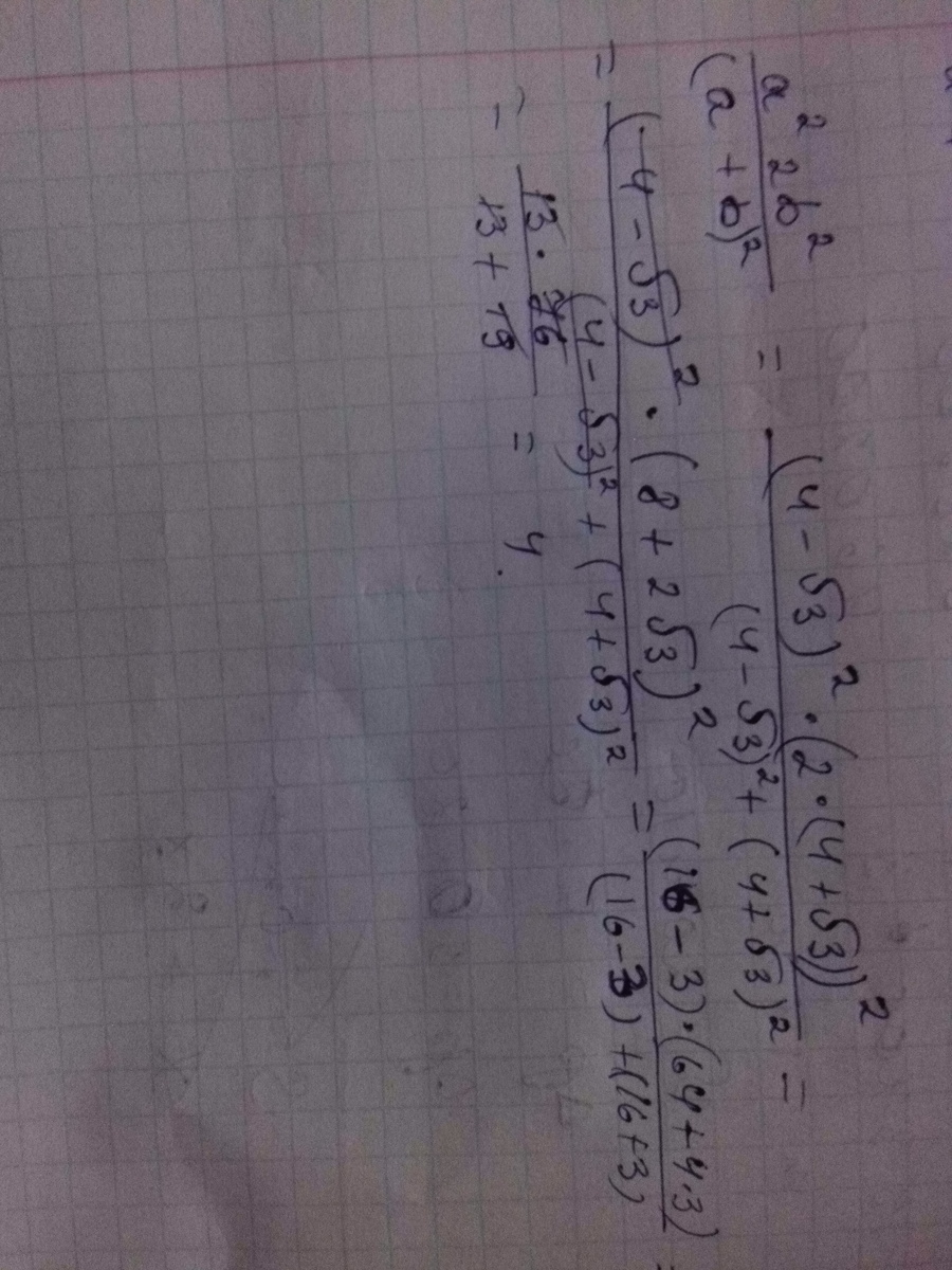
найдите значение выражения a^2b^2/a^2+2ab+b^2 : ab/a+b,если a=4-√3, b=4+√3
Ответы
Автор ответа:
0
тогда а^2 сокращаются и остается:
b^2+2ab+b^2:ab/a+b=b(b+2a+b):ab/a+b
больше я не знаю как сократить, теперь подставляй значения a и b
4 + корень из 3(4 + корень из 3 + 2(4 - корень из 3) + 4 + корень из 3) : (4 - корень из 3)(4 - корень из 3)/4 - корень из 3 + 4 +корень из 3 ( надеюсь все понятно))) = 4 корень из 3(8 + 2(корень из 3) + 8 - 2 корня из 3) : (16 -3)/8 = 16(4 + корень из 3) : (16 - 3)/8=2(4+ корень из 3) : 13= 2(4+корень из 3) : 13 (вроде все, можно еще скобки раскрыть)
b^2+2ab+b^2:ab/a+b=b(b+2a+b):ab/a+b
больше я не знаю как сократить, теперь подставляй значения a и b
4 + корень из 3(4 + корень из 3 + 2(4 - корень из 3) + 4 + корень из 3) : (4 - корень из 3)(4 - корень из 3)/4 - корень из 3 + 4 +корень из 3 ( надеюсь все понятно))) = 4 корень из 3(8 + 2(корень из 3) + 8 - 2 корня из 3) : (16 -3)/8 = 16(4 + корень из 3) : (16 - 3)/8=2(4+ корень из 3) : 13= 2(4+корень из 3) : 13 (вроде все, можно еще скобки раскрыть)
Автор ответа:
0
вот так все должно быть!
Приложения:
Похожие вопросы
Предмет: Английский язык,
автор: Аноним
Предмет: Қазақ тiлi,
автор: Аноним
Предмет: Физика,
автор: saniakucherov524
Предмет: История,
автор: Совушка1
Предмет: Алгебра,
автор: dasha9610