Предмет: Алгебра,
автор: 1236685
помогитееее пжжжжж алгебра
Приложения:
Ответы
Автор ответа:
0
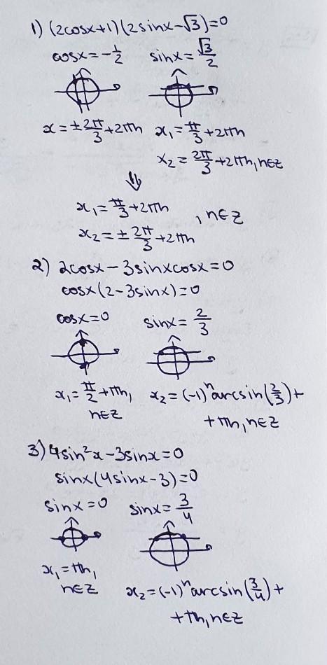
Ответ:
решение на фотографии
Приложения:
Miroslava227:
Смотря как вы привыкли
во всех примерах можно так например в 1 примере вместо n к во втором тоже так же
Да
хорошо а можно ещё попросить вас с номерами помочь?
баллы будут
вы тут??
пожалуйста помогите с алгеброй на последний вопрос зайдите
пжжжж
как слышите пожалуйста сможете мне помочь по алгебре там 2 номера решить у меня времени мало
??????
Похожие вопросы
Предмет: Русский язык,
автор: dobrinskaya12
Предмет: Литература,
автор: Аноним
Предмет: Физика,
автор: alsusa2000
Предмет: Математика,
автор: Тема049
Предмет: Химия,
автор: MarinaZelentsova15