Предмет: Математика,
автор: nazka69
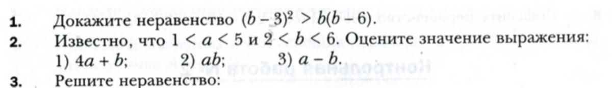
Срооооочно помогите со 2 номером!!!!!
Приложения:
Ответы
Автор ответа:
0
Ответ:
только первый знаю
Пошаговое объяснение:
1.b-3×-6(b+6)=13
Похожие вопросы
Предмет: Биология,
автор: FranckurMaster
Предмет: Математика,
автор: АнастасияФокс2003
Предмет: Математика,
автор: mariywarova
Предмет: Алгебра,
автор: ktoto40
Предмет: Биология,
автор: againalive2108