Предмет: Алгебра,
автор: Tanjiro
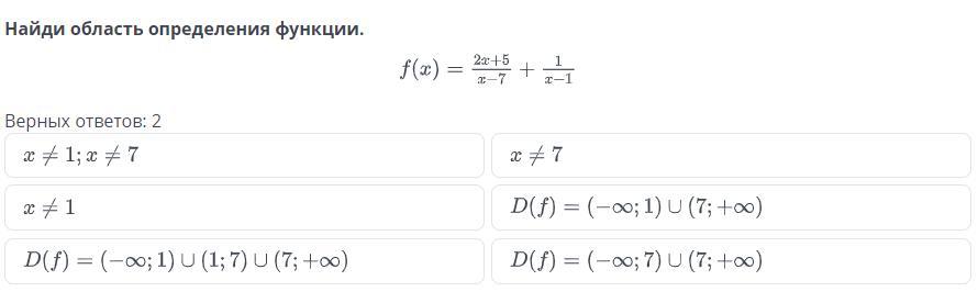
Найди область определения функции
onlinemektep
Приложения:
Ответы
Автор ответа:
2
Ответ:
D(f) = (-∞; 1) ∪ (1; 7) ∪ (7; +∞)
Объяснение:
Знаменатель дроби не может быть равным нулю, поэтому
х ≠ 7 и х ≠ 1
Область определения функции
D(f) = (-∞; 1) ∪ (1; 7) ∪ (7; +∞)
Похожие вопросы
Предмет: Русский язык,
автор: LenaVolkova81
Предмет: Математика,
автор: 06051982alex86
Предмет: Математика,
автор: Geldiniazova
Предмет: Алгебра,
автор: harutosuper456
Предмет: Алгебра,
автор: АндрейКун