Предмет: Алгебра, автор: tobee14141414

как из левого выражения получили правое?

Приложения:

Ответы

Автор ответа: mmb1
0

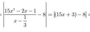
15x² - 2x - 1 = 0

D = 4 + 60 = 64

x12 = (2 + - 8)/30 = -1/5 1/3

15x² - 2x - 1 = 15(x + 1/5)(x - 1/3)

| (15x² - 2x - 1) / (x - 1/3) - 8 | =  | 15(x + 1/5)(x - 1/3)/(x - 1/3) - 8| =  | 15(x + 1/5) - 8| = | (15x + 3) - 8|

Автор ответа: Albina1710
0

Объяснение:

Сначала приводим к общему знаменателю в знаменателе(как бы странно это не звучало), потом избавляемся от многоэтажной дроби и переносим 3 в числитель, далее раскладываем -2х как +3х-5х, выносим общий множитель за скобку и скоращем, в конце раскрываем скобки и готово.

Я РАСПИСЫВАЛА ЭТОТ ПРИМЕР 10 МИНУТ, А ОН ВЗЯЛ И ВЫРЕЗАЛСЯ ПОЧЕМУ-ТО АААА

Похожие вопросы
Предмет: Русский язык, автор: almekx
Помогите, пожалуйста, написать сочинение, или хотя бы выделить главную проблему, которая показана в тексте. Заранее спасибо!

Закружился в диком танце осени, спрятал под листвой дороги, перепутал всё на свете листопад. Хорошо бродить, утопая в листве. Хорошо набирать её полные руки, заставлять кружиться вновь и вновь, осыпая голову, плечи...
— Дедушка, скажи что-нибудь грустное.
— Осенние листья.
— А грустнее?
— Осенние звёзды.
— Грустнее осенних звёзд бывает?
— Осенние птицы.
— Дедушка, есть осенние люди?
Его давно нет на свете, моего деда, а как прижмёт, защемит, — забываю, что нет. Мой добрый, мой умный дедушка живёт во мне. Он мой остров, мой материк, моя Земля.
— Дедушка, есть второе дыхание, а любовь бывает вторая? Ответь, дед, мне это очень нужно.
— Если ты мне скажешь: первая звезда, — я пойму. Это начало счёта, это надежда на звёздное небо.
— Дед, ну причём здесь звёздное небо? Ты прямо ответь, бывает или нет?
— Если ты скажешь: первое блюдо, я пойму — хочешь кушать и надеешься на второе и третье. Но когда говорят: первая любовь, — я не понимаю, что это? Начало счёта или надежда на вторую и третью?
— Дед, я, наверное, старею, мне хочется быть счастливым.
— Глупый ты ещё. Пойми, внук: Маму, Родину, Любимую не нумеруют.
— Дед, она не любит меня.
— А ты сам как к себе относишься?
— Плохо, дедушка, совсем плохо.
— А летать ты пробовал?
— Дед, средний я, серый, какие там полёты.
— Объясни, такого не понимаю.
— Дедушка, ты не представляешь, как трудно быть средним. Чувствовать себя щенком перед слонами и понимать — они это знают. Сознавать себя собакой перед мышами и знать: они этого никогда не поймут. Я ненавижу себя, иногда хочу стать мышью — их не обижают, они маленькие. Шмыгаю я, дед.
— Она тебя замечает?
— Никто я для неё. Моя жизнь — ожидание кости. Иногда меня гладят, а я не знаю, что делать: лаять или лизать руку, которая гладит, а может ударить.
— К себе не подпускай, вешай объявления на столбах.
— Шутишь, дед, какие объявления?
— Продаётся собачья шкура.
— А если придут за шкурой?
— На вырученные деньги купишь скрипку.
— Зачем мне скрипка, дед?
— Станешь играть любимой.
У меня нет родной деревни — мне некуда ехать, у меня нет отчего дома. Моя отчизна — мой дедушка, его слова, его мысли. Он учил меня любить, видеть, думать, хотел научить летать, но не успел. Мы ходили с ним среди сосен и смотрели в небо. Дед говорил о каждой звезде, а ещё мой дедушка был влюблён в луну. Он знал о ней всё. Как-то сказал:
— Одни учёные утверждают: лунные кратеры — остатки потухших вулканов, другие доказывают — следы метеоритов. Я уверен, лунные кратеры — застывшие взгляды великих. Вот очи Пушкина, а здесь глаза Блока, дальше — взор Бунина, а прямо перед тобой — Маяковского; Луна— музей любви человека. Но чтобы попасть в этот музей, нужно любить так, чтобы сгорать, как метеорит, с ума сходить, как вулкан!
— Не получается у меня, дед.
— Что не получается?
— Ничего не понимаю, во всём запутался. Дедушка, а кто они такие — осенние люди? Может, я и есть осенний?
— Нельзя мне все вопросы решать за тебя, есть такие, на которые ответишь только сам.
— Ой, дед, завидую я тебе.
— Это не так уж и плохо, я интересно жил.
— Дедушка, а как дальше мне, что делать?
Засыпая, я вновь услышал его голос: — Внук, так хочется, чтобы ты знал: дед твой жив! Жив твой дед!
Я встал, открыл форточку и заорал на всю улицу, во всю ночь:
— Люди, жив мой дед! Мой умный, добрый, осенний дед! Мой остров! Моя Земля!
Предмет: Математика, автор: софия006