Предмет: Алгебра, автор: arzenova06

СРОЧНОО
Помогите с ршением
Спаситеее а то мне конец
Куда умники подевались

Приложения:

Ответы

Автор ответа: Universalka
1

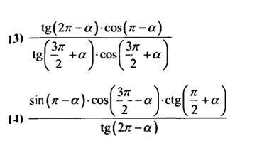
13)\frac{tg(2\pi-\alpha)*Cos(\pi-\alpha)}{tg(\frac{3\pi }{2}+\alpha)*Cos(\frac{3\pi }{2}+\alpha)}=\frac{-tg\alpha*(-Cos\alpha)}{-Ctg\alpha*Sin\alpha}=-\frac{\frac{Sin\alpha}{Cos\alpha}*Cos\alpha}{\frac{Cos\alpha}{Sin\alpha}*Sin\alpha}=\frac{Sin\alpha}{Cos\alpha}=tg\alpha \\\\Otvet:\boxed{tg\alpha}

14)\frac{Sin(\pi-\alpha)*Cos( \frac{3\pi }{2}-\alpha)*Ctg(\frac{\pi }{2} +\alpha)}{tg(2\pi-\alpha)}=\frac{Sin\alpha*(-Sin\alpha)*(-tg\alpha)}{-tg\alpha}=-Sin^{2}\alpha\\\\Otvet:\boxed{-Sin^{2}\alpha}


arzenova06: вау спасибо большое
Universalka: Спасла жизнь ?:))
arzenova06: Дааа
Похожие вопросы
Предмет: Русский язык, автор: ketmobile
Предмет: Физика, автор: Азаля111