Предмет: Алгебра,
автор: frad2116
Нужен развёрнутый ответ
Приложения:
Ответы
Автор ответа:
1
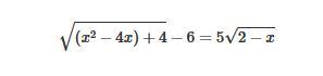
Смотри...............
Приложения:
Похожие вопросы
Предмет: Физика,
автор: Кaтюша2732
Предмет: Обществознание,
автор: sashakazarina
Предмет: Математика,
автор: eura
Предмет: Биология,
автор: rgejx
Предмет: Математика,
автор: unz1307