Предмет: Алгебра,
автор: Лайм505
Задание не трудное,но у меня нет времени его разбирать,пожалуйста выручите!
Приложения:
Ответы
Автор ответа:
1
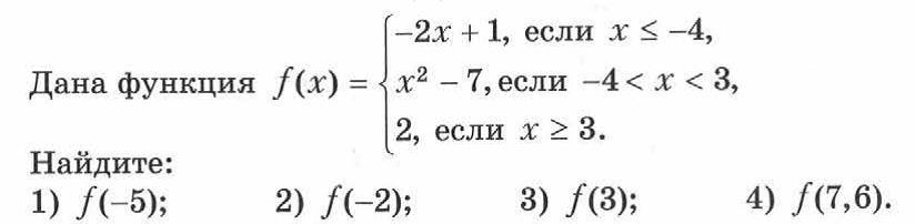
f(-5) = -2 * (-5) +1= 10 +1 = 11
f(-2) = (-2)² - 7= 4 - 7 =-3
f(3) = 2
f(7,6) =2
Похожие вопросы
Предмет: Биология,
автор: Миндальka
Предмет: Математика,
автор: ponomareva869
Предмет: Математика,
автор: ewelinafff3
Предмет: История,
автор: tigerclub
Предмет: История,
автор: kus0101831gjsjvd