Предмет: Алгебра,
автор: nastasyastalica
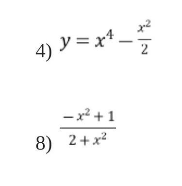
Определите, является функция четной, нечетной или не является ни четной, ни нечетной…
Приложения:
Ответы
Автор ответа:
0
Ответ:
Объяснение:
Функция четной , если f(-x)=f(x).
Нечетной , если f(-x)= - f(x)
Или не является ни четной, ни нечетной…
у= х⁴-х²/2 f(-x)=(-х)⁴-(-х)²/2= х⁴-х²/2= f(x) ЧЕТНАЯ!
у= (-х²+1)/(2+х²) f(-x)= (-(-х)²+1)/(2+(-х)²) = (-х²+1)/(2+х²) = f(x) ТОЖЕ ЧЕТНАЯ!
Похожие вопросы
Предмет: Математика,
автор: olyanovo2004
Предмет: Математика,
автор: ilina2016
Предмет: Русский язык,
автор: alim2
Предмет: Информатика,
автор: sashaiscreativ2
Предмет: Информатика,
автор: ruhi3899077