Предмет: Физика,
автор: Loursek
Осилит кто такое посчитать?
Всем спасибо заранее
Приложения:
Ответы
Автор ответа:
0
-1,4*10^-5
,+++++++++++++++++++++++++
,+++++++++++++++++++++++++
Автор ответа:
0
я поменял
Автор ответа:
0
этот точно правильный=)
Автор ответа:
0
у меня ответ другой )
вероятно потому что мы по-разному прочитали условие
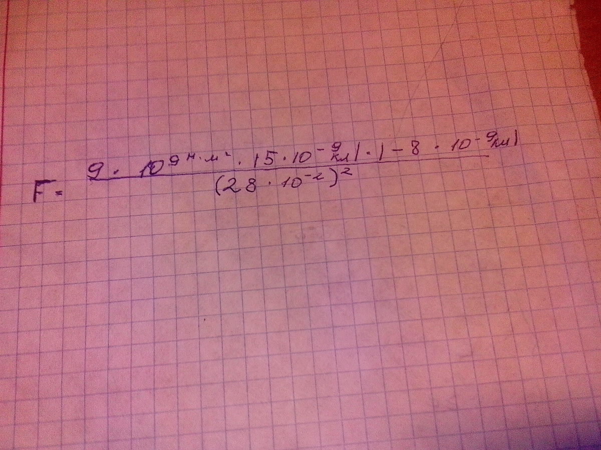
Вы прочитали F = 9*10^9*abs(15*10^(-9))*abs(-8*10^(-9)) / (28*10^(-2))^2
и получили 1,37755E-05 ~ 1,4*10^-5
я прочитал F = 9*10^9*abs(5*10^(-9))*abs(-8*10^(-9)) / (28*10^(-2))^2
вероятно потому что мы по-разному прочитали условие
Вы прочитали F = 9*10^9*abs(15*10^(-9))*abs(-8*10^(-9)) / (28*10^(-2))^2
и получили 1,37755E-05 ~ 1,4*10^-5
я прочитал F = 9*10^9*abs(5*10^(-9))*abs(-8*10^(-9)) / (28*10^(-2))^2
Автор ответа:
0
различие в цифре 1 перед цифрой 5
я посчитал что это не цифра 1, а скобка модуля )))
кто прав - пусть выбирает автор вопроса )
я посчитал что это не цифра 1, а скобка модуля )))
кто прав - пусть выбирает автор вопроса )
Автор ответа:
0
такие вещи считаю в экселе
F = 9*10^9*abs(5*10^(-9))*abs(-8*10^(-9)) / (28*10^(-2))^2 = 4,59E-06 H ~ 4,6*10^(-6) H
F = 9*10^9*abs(5*10^(-9))*abs(-8*10^(-9)) / (28*10^(-2))^2 = 4,59E-06 H ~ 4,6*10^(-6) H
Похожие вопросы
Предмет: Математика,
автор: Аноним
Предмет: География,
автор: abdikhamitd03
Предмет: Русский язык,
автор: najoon9412
Предмет: Математика,
автор: Аноним
Предмет: История,
автор: dasha6758