Предмет: Алгебра, автор: jhopetatuana1014

СРОЧНО! ДАЮ 20 БАЛЛОВ. УПРОСТИТЕ ВЫРАЖЕНИЕ. НЕ ПО ФОТОМАЧУ!!​

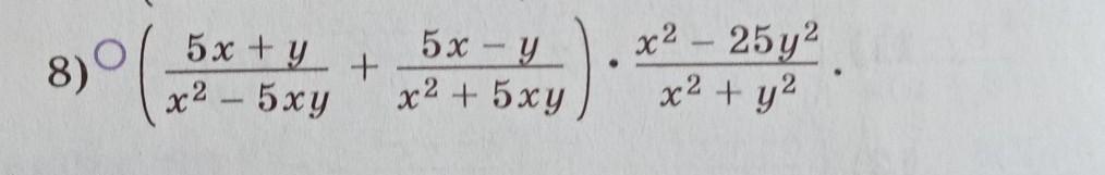
Приложения:

Ответы

Автор ответа: Universalka
0

1)\frac{5x+y}{x^{2}-5xy} +\frac{5x-y}{x^{2}+5xy}=\frac{5x+y}{x(x-5y)}+\frac{5x-y}{x(x+5y)}=\frac{(5x+y)*(x+5y)+(5x-y)*(x-5y)}{x(x-5y)(x+5y)}=\\\\=\frac{5x^{2}+25xy+xy+5y^{2}+5x^{2}-25xy-xy+5y^{2}}{x(x-5y)(x+5y)}=\frac{10x^{2}+10y^{2}}{x(x-5y)(x+5y)}=\frac{10(x^{2}+y^{2})}{x(x^{2}-25y^{2})} \\\\2)\frac{10(x^{2}+y^{2})}{x(x^{2}-25y^{2})} *\frac{x^{2}-25y^{2}}{x^{2}+y^{2}} =\frac{10}{x}\\\\Otvet:\boxed{\frac{10}{x}}

Похожие вопросы
Предмет: Русский язык, автор: Аноним
Предмет: Алгебра, автор: АнитаОсипова