Предмет: Алгебра,
автор: aropmaratoforvard
Нужна помощь я в отчаянии(
Приложения:
Ответы
Автор ответа:
1
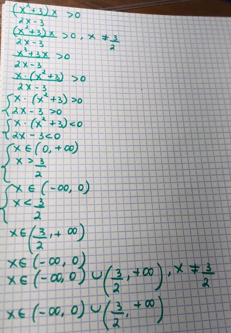
Данный ответ представлен фотографией.
Приложения:
Автор ответа:
0
Ответ:
Объяснение:
Сократим обе части на (x^2+3)>0, тогда получим:
x/(2x-3) >0 2x-3=0, x=1,5, + + + + +(0) - - - - - - - (1,5) + + + + +,
(-~;0) u (1,5;+~)
Похожие вопросы
Предмет: Математика,
автор: ksy3ha
Предмет: Алгебра,
автор: Аноним
Предмет: Другие предметы,
автор: polyaklinovaya
Предмет: Математика,
автор: bekasovasamarin