Предмет: Математика,
автор: lalaleu
БЫСТРЕЕЕЕ
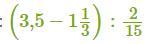
Найдите значение выражения:
(Ответ запишите в виде десятичной дроби)
Приложения:
lalaleu:
БЫСТРЕЕ МНЕ СРОЧНО НУЖНО
Ответы
Автор ответа:
1
Ответ:
Пошаговое объяснение:
3,5-1 1/3=3 1/2-1 1/3=3 3/6-1 2/6=2 1/6
2 1/6:2/15=13/6*15/2=65/4=16 1/4=16,25
Похожие вопросы
Предмет: Математика,
автор: dimapozdeev20
Предмет: Математика,
автор: slavanitievsky
Предмет: Экономика,
автор: Аноним
Предмет: Математика,
автор: dnd403102