Предмет: Физика,
автор: ange1787
Срочное пожалуйста!!!
Приложения:
Ответы
Автор ответа:
1
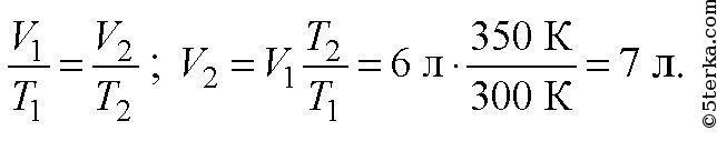
Ответ:1)
2) найти V2 -?
3)Дано:
ΔT = 140 К;
P₂ = 1,5P₁
Найти:
Температуру, при которой находился газ в закрытом сосуде
Решение:
P₁/T = P₂/T+ΔT; 1/T = 1,5/T+ΔT; 0,5T = ΔT
T = 2ΔT = 2*140 К = 280 К.
Ответ: Температура, при которой находился газ в закрытом сосуде, равна 280 К.
Приложения:
ange1787:
спасибо
пожалуйста
Похожие вопросы
Предмет: Русский язык,
автор: vitabeznos
Предмет: Русский язык,
автор: saltltdf43
Предмет: Другие предметы,
автор: ftv19811
Предмет: Алгебра,
автор: foks3090
Предмет: Алгебра,
автор: Artem12141241421