Предмет: Математика,
автор: ekaterinal04
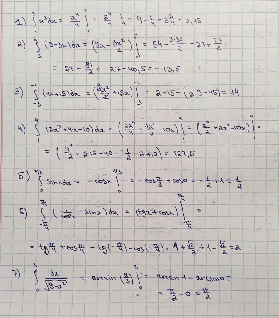
Помогите пожалуйста решить интегралы!!!!!
Приложения:
Ответы
Автор ответа:
1
Ответ:
решение на фотографии
Приложения:
Похожие вопросы
Предмет: Русский язык,
автор: zakolya12345
Предмет: Английский язык,
автор: shalaka
Предмет: Русский язык,
автор: sasddsad
Предмет: Литература,
автор: RaJfhcxzjsz