Предмет: Алгебра,
автор: mariag77
ПОМОГИТЕ СРОЧНО АЛГЕБРА, ФУНКЦИЯ ЗАДАНА ФОРМУЛОЙ
Приложения:
Ответы
Автор ответа:
2
Объяснение:
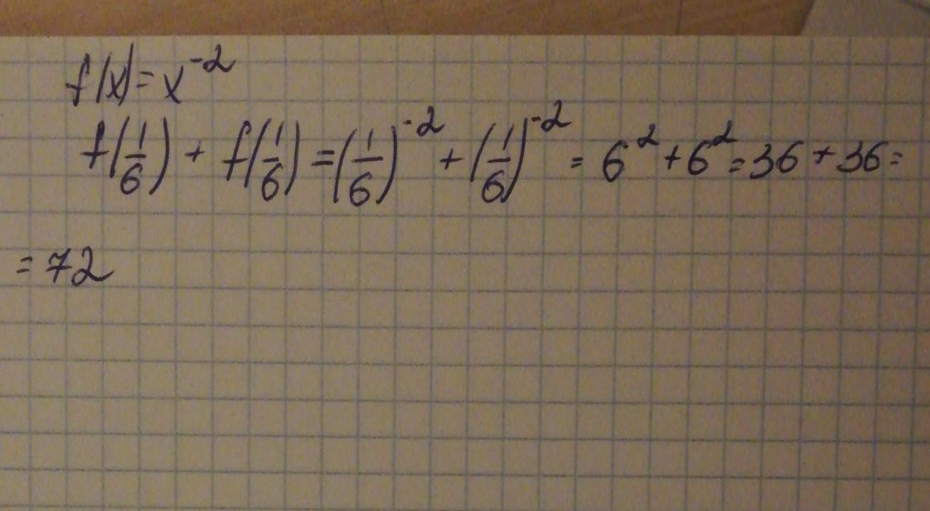
одна шестая это x, а нам функция задана формулой f от х равна х в минус второй степени , значит f от одной шестой будет равен одной шестой в минус второй степени , дальше решаем полученное выражение
Приложения:
mariag77:
спасибо!!
Похожие вопросы
Предмет: Русский язык,
автор: Аноним
Предмет: Русский язык,
автор: ilja12t
Предмет: Английский язык,
автор: denis081278
Предмет: Физика,
автор: matveevaarina37
Предмет: Обществознание,
автор: bogin465