Предмет: Физика, автор: лопина

Из пушки выпустили последовательно 2 снаряда с одинаковой скоростью 250 м/с .Первый снаряд под углом 60 градусов к горизонту а второй под углом 45 градусов.найдите интервал времени между выстрелами при котором снаряды столкнутся друг с другом.

Ответы

Автор ответа: Федя229
0
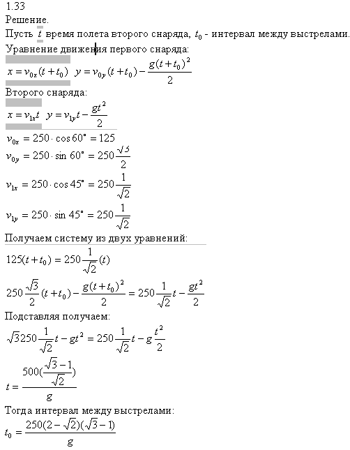
вот всё подробно написано.
Приложения:
Похожие вопросы
Предмет: Другие предметы, автор: swetlanagolik79
Приложение1
Задание:
• Какова причина возникновения кочевого скотоводства?
• В чем отличие оседлого от кочевого образа жизни?
• Насколько значимо кочевое скотоводство?
нужны ответы на вопросы:

В связи с климатическими изменениями на большей части территории Казахстана стали возникать неблагоприятные условия для развития земледелия. Поэтому люди были вынуждены сменить занятие земледелием на скотоводство. Увеличилось поголовье скота, что приводило к нехватке пастбищ. В середине 2 тысячелетия до н.э. в степях Казахстана стало
невыгодно занятие земледелием. Причина: возникновение засухи, уменьшение дождей. Поэтому занятие земледелием вызывало трудности. Родники высыхали, озера сокращались. Это подтолкнуло племена занимавшихся скотоводством к поиску новых пастбищ. В таких условиях жители степи придумали новый вид хозяйства – кочевое скотоводство. Так постепенно люди переходили к кочевому образу жизни. Возникновение металлического удила создало условия использования лошади в качестве транспортного средства. Особенно выросло поголовье видов скота, приспособленного к тебеневке – добыванию корма из-под снега, что требовало переезда с места на место. Такие природно-хозяйственные предпосылки раннего железного века на многих землях Казахстана привело к возникновению кочевого скотоводства. Но, в таких регионах как Жетысу и Южный Казахстан, где издавна было благоприятно развитие земледелия и оседлость наряду с оседлым образом жизни развивалось полукочевое скотоводство и земледелие. Кочевники в отличие от охотников не использовали готовую продукцию природы, а сами производили продукцию. Скотоводы выращивали лошадей, верблюдов, баранов, коров.
это от учителя:​