Предмет: Алгебра,
автор: bogdanbelousov2004
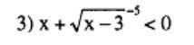
вот, решите пример. я уже пол часа сижу не могу его решить.
Приложения:
Ответы
Автор ответа:
0
Ответ:
тттттттттт
ответттт
Объяснение:
x€R
Похожие вопросы
Предмет: Русский язык,
автор: lenaleb2004
Предмет: Английский язык,
автор: 22323
Предмет: Русский язык,
автор: даренка14
Предмет: Алгебра,
автор: TheDimanTop