Предмет: Алгебра,
автор: Antonpanda
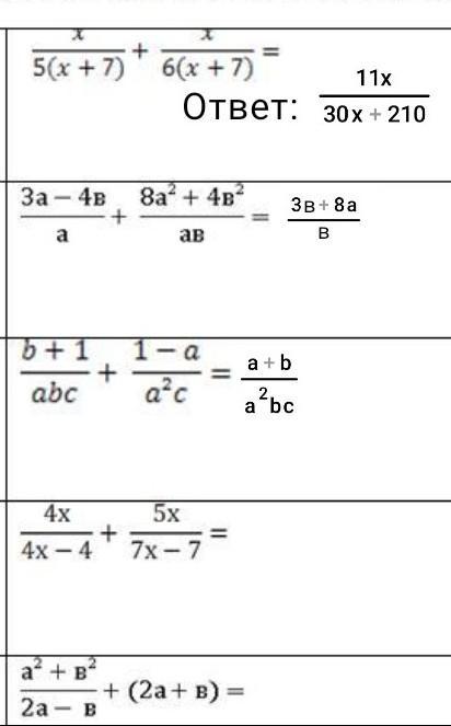
Помогите решить. Выполните действия с рациональными дробями
Приложения:
Ответы
Автор ответа:
1
последний не поняла))
Приложения:
Похожие вопросы
Предмет: Русский язык,
автор: Una21
Предмет: Русский язык,
автор: anarali
Предмет: Русский язык,
автор: Аноним
Предмет: Математика,
автор: elmirsadixli
Предмет: Алгебра,
автор: nasyatkachenko8