Предмет: Алгебра, автор: alexegernan

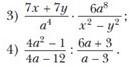
Выполните действие ​

Приложения:

Ответы

Автор ответа: serovaksusa1
1

Ответ:

Смотри решение на фото

Приложения:

alexegernan: спасибо большое за помощь :3
lrides: так если это 5 класс, то там нужно регать без фсу
lrides: решать*
Автор ответа: lrides
1

Объяснение:

то что зачеркнуто не нужно, я начал решать так, как решают в 8 классе

Приложения:

alexegernan: спасибо большое
Похожие вопросы
Предмет: Русский язык, автор: larin1305larin
Предмет: Қазақ тiлi, автор: maksim589585895
Предмет: Алгебра, автор: Аноним