Предмет: Алгебра, автор: lolkasajn

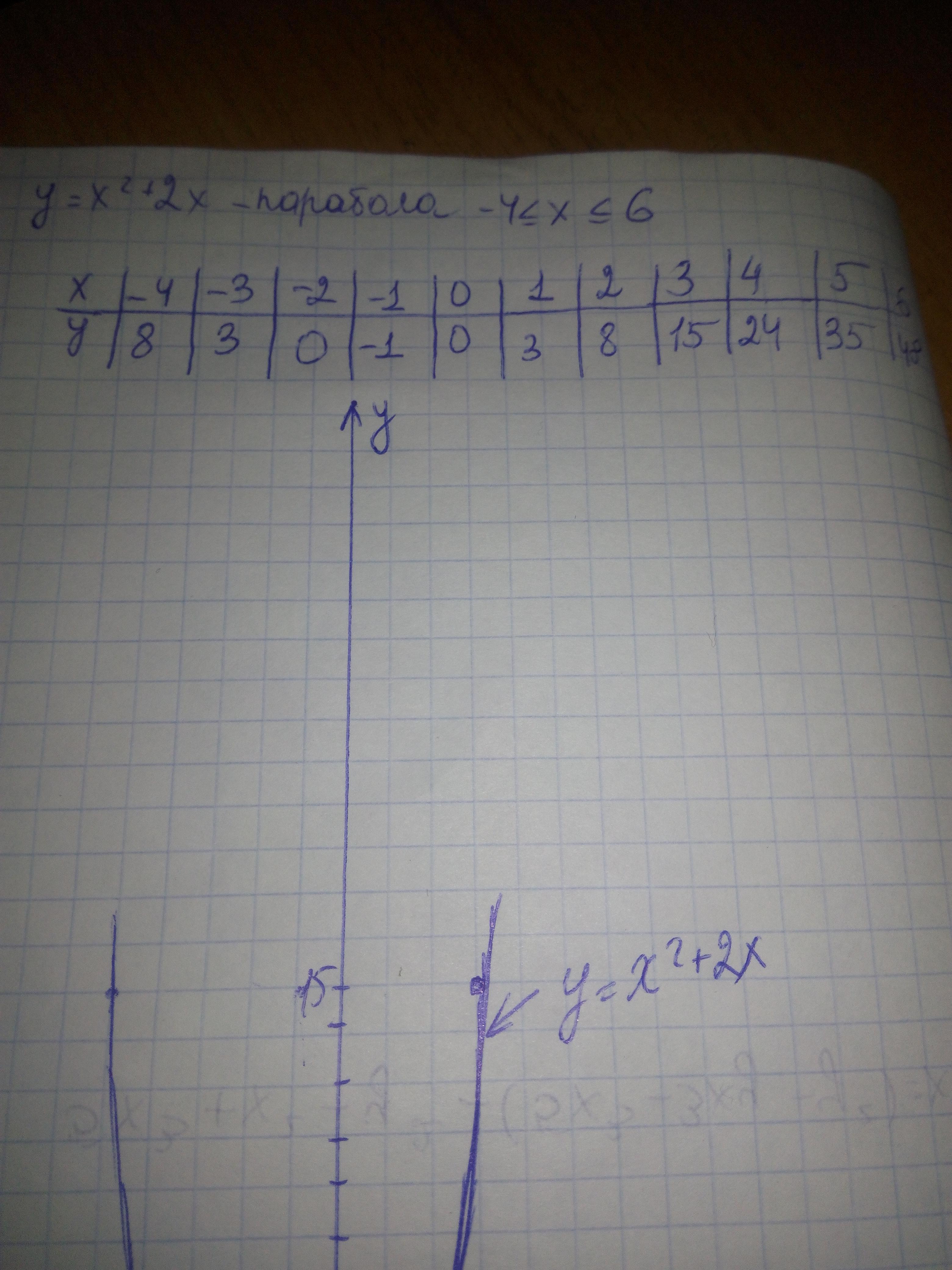
построить график функции y=-x(x+2), где х от -4 до 6 включительо!СРОЧНО

Ответы

Автор ответа: PinkesRose
0

Ответ: файл

Объяснение:

Приложения:
Похожие вопросы
Предмет: Русский язык, автор: Galyaaa
Найдите причастия, выделите суффиксы, подчеркните причастные обороты, расставьте запятые
1) Неожиданно навалившихся дел много – к домику недавно построенному не скоро доведёт дорога.
2) Бумаги кем-то разбросанные завалили пол – значит проведённый на работе день бесцельно прошёл.
3) От тысячи начальником данных указаний болит голова – бесполезно читать написанные по-английски слова.
4) Принтер зажевавший бумагу никогда не пожалеет уставшего от бумаготворчества беднягу.
5) Ручка затерявшаяся где-то второпях своими всё время размазывающимися чернилами нагоняет страх.
6) Глаза уставшие от страшного напряжения заставляют искать от надоевшей за день работы спасения.
7) Мысли крутящиеся вокруг вкусной еды доведут измученного ответственностью работника до беды.
8) Замаячивший на горизонте выходной призывает забыть о ещё не выполненных делах заняться собой.
9) Человек не умеющий отдыхать непременно будет страдать.
Предмет: Українська мова, автор: Викусик130297