Предмет: Алгебра,
автор: danilgaraev84
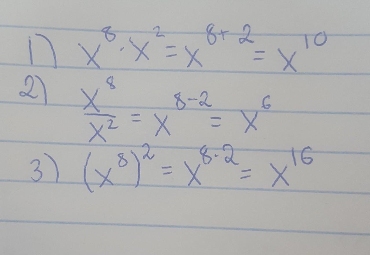
Представьте в виде степени выражения х⁸*х² 2) х⁸/х² 3) (х⁸)² срочно!!!
Ответы
Автор ответа:
4
Объяснение:
Решение смотри на фото.
....
Приложения:
Похожие вопросы
Предмет: Русский язык,
автор: bogatowanatali
Предмет: Русский язык,
автор: Soff2004
Предмет: Русский язык,
автор: yuliyamatyzh
Предмет: Математика,
автор: Miuni
Предмет: История,
автор: romazharnikov