Предмет: Математика,
автор: hsiqosh
Помогите прошу вас!!! Даю 40 баллов и лучший ответ!!!
Приложения:
Ответы
Автор ответа:
0
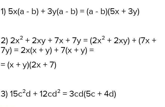
Ответ:
На фотографиях появляются
Приложения:
Похожие вопросы
Предмет: Русский язык,
автор: bodulina
Предмет: Русский язык,
автор: Shidlovskaya197
Предмет: Русский язык,
автор: arinamochovaya
Предмет: История,
автор: Тамилла101
Предмет: География,
автор: Gucci11111