Предмет: Математика,
автор: Samircik06
Помогите Пожалуйста!
Приложения:
Ответы
Автор ответа:
1
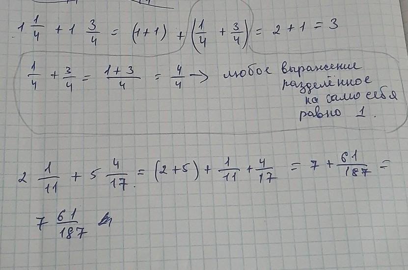
1)1 1/4 +1 3/4=3
2)2 1/11 + 5 4/17=7 61/187
Автор ответа:
1
Ответ:
ответ на рисунке
........♡
Приложения:
Похожие вопросы
Предмет: Русский язык,
автор: bryuhnoanatoli
Предмет: Русский язык,
автор: t5275253
Предмет: Русский язык,
автор: Кристя1601
Предмет: Литература,
автор: Klayd24
Предмет: Алгебра,
автор: Gleb04kkk