Предмет: Алгебра,
автор: yajup
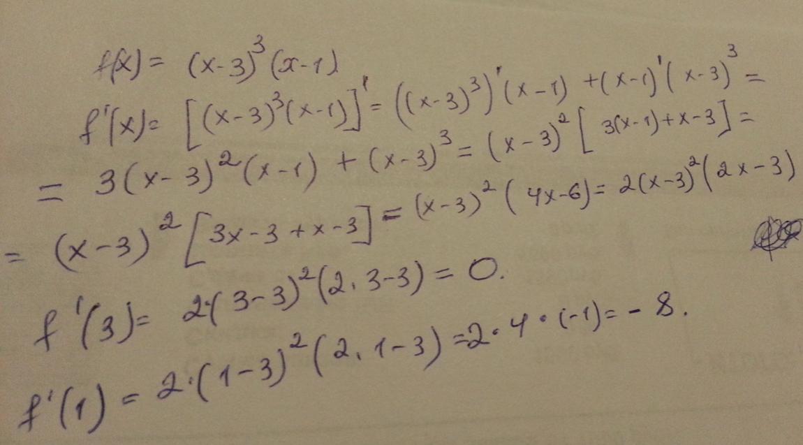
Найти ф(1)
F(x)=x^2-1/x^2+1
F(x)=2x-3/5-4x
Ответы
Автор ответа:
0
Воть........................
Приложения:
Похожие вопросы
Предмет: Русский язык,
автор: sssangelsss10
Предмет: Українська мова,
автор: vlasyuk1985
Предмет: Другие предметы,
автор: horugivka
Предмет: Литература,
автор: whyzhanna000
Предмет: Математика,
автор: Grisha3451