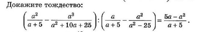
Предмет: Алгебра,
автор: softgirl57
ПОМОГИТЕ ПОЖАЛУЙСТА
(по действиям)
Приложения:
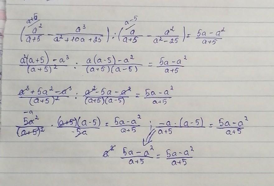
Ответы
Автор ответа:
0
Объяснение:
писала понятно как могла
Приложения:
Автор ответа:
0
Тут впринцепи легко, главное знать ФСУ
Приложения:
nikasanovak:
ФСУ-формулы сокращённого умножения, ну и видеть их нужно тоже
Похожие вопросы
Предмет: Русский язык,
автор: adelia2704031
Предмет: Русский язык,
автор: ritatucdunc
Предмет: Українська література,
автор: Наталия2002
Предмет: Математика,
автор: marodima1923oy7n20
Предмет: Математика,
автор: аня2875