Предмет: Химия,
автор: dmitrijkosachev05
1. вычислите относительные молекулярные массы веществ: CO^2 SO^3 FE^2O^3 H^2O
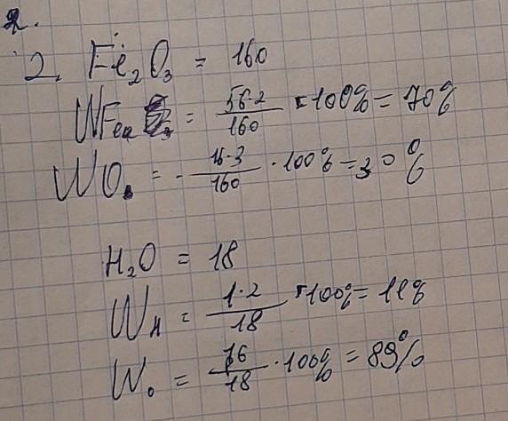
2. рассчитайте массовую долю каждого элемента в FE^2O^3 и SO^3
3.какую информацию о веществе несет его химическая формула---- CaCO^3
(карбонат кальция).
Ответы
Автор ответа:
1
третье задание не знаю. во втором задание оформить только осталось.
Приложения:
Похожие вопросы
Предмет: Українська мова,
автор: elenaegorova12
Предмет: Английский язык,
автор: НККО6НГОА6АО
Предмет: Английский язык,
автор: ккк132456к
Предмет: Алгебра,
автор: Никита11611
Предмет: Литература,
автор: Ameliya77