Предмет: Математика,
автор: Sivacheva1612
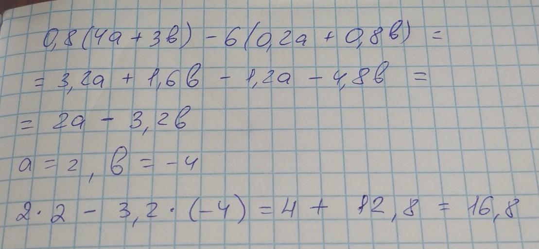
Найди значение алгебрического выражения по многочленам
Приложения:
Ответы
Автор ответа:
0
Ответ:
Решение на фотографии
Приложения:
Похожие вопросы
Предмет: Қазақ тiлi,
автор: katshi69
Предмет: Русский язык,
автор: lyudakorotkova
Предмет: Русский язык,
автор: miLka02
Предмет: Обществознание,
автор: lersha1
Предмет: Биология,
автор: alinagoiko29