Предмет: Алгебра,
автор: kiramys133
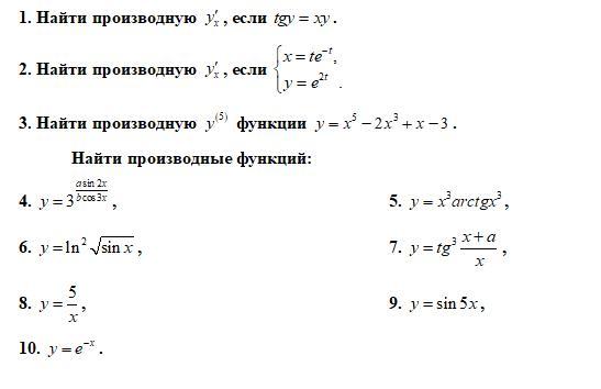
Помогите решить производные
Приложения:
Ответы
Автор ответа:
1
Ответ:
решение на фотографии
Приложения:
Похожие вопросы
Предмет: Английский язык,
автор: pilipenkokamil
Предмет: Русский язык,
автор: manimanieee
Предмет: Английский язык,
автор: mamylaazaz80
Предмет: Математика,
автор: Е111К
Предмет: Математика,
автор: Efi08