Предмет: Алгебра,
автор: Maxff2f2
Срочно! Заранее Спасибо ! 35 баллов.
Приложения:
Ответы
Автор ответа:
1
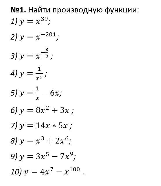
Ответ:
решение на фотографии
Приложения:
Maxff2f2:
спасибо тебе~
Похожие вопросы
Предмет: Русский язык,
автор: kent700
Предмет: Русский язык,
автор: zhilkinaliubov
Предмет: Русский язык,
автор: Sibirinasvteta
Предмет: Обществознание,
автор: yanacorolukl
Предмет: Математика,
автор: bella21092001