Предмет: Алгебра,
автор: Limon2801
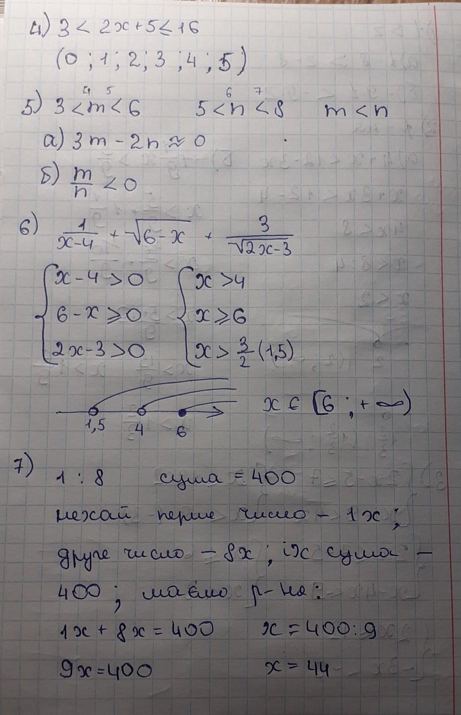
Пожалуйста,срочно!Як швидше!Відповідь і пояснення українською!ДАЮ ОCТАННІ 30 БАЛІВ!ПРОШУ!Алгебра,9 клас!Зображення нижче
Приложения:
Ответы
Автор ответа:
1
Объяснение:
відповіді на всі завдання на фото
Приложения:
Limon2801:
Щиро дякую!)
Будь ласка)
Похожие вопросы
Предмет: Русский язык,
автор: RIP2033
Предмет: Русский язык,
автор: olga09ru
Предмет: Английский язык,
автор: faridca
Предмет: Математика,
автор: Abylai2007г
Предмет: Биология,
автор: камилопсик