Предмет: Алгебра,
автор: VladNotLazy27567
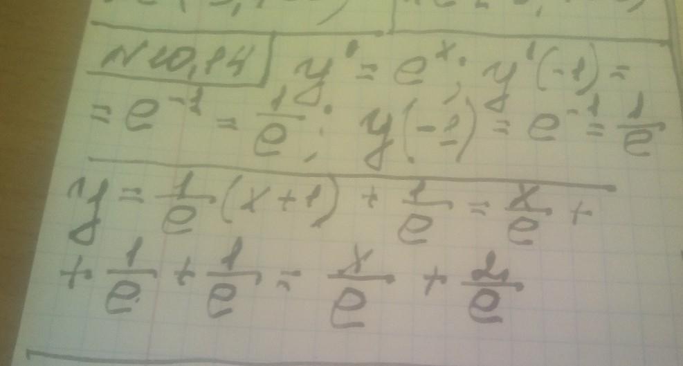
Решите пожалуйста номера 10.13; 10.14; 10.11
Приложения:
Ответы
Автор ответа:
1
Ответ:
решение на фотографии
Приложения:
Похожие вопросы
Предмет: Английский язык,
автор: ilhamaliev54
Предмет: Английский язык,
автор: alenatrembitskaya
Предмет: Русский язык,
автор: artigalieva
Предмет: Физика,
автор: G123321
Предмет: Математика,
автор: Микаааа1