Предмет: Алгебра,
автор: teslenk
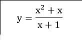
СРОЧНО Постройте график функции.
Приложения:
Ответы
Автор ответа:
0
Объяснение:
решение на фотке.......
Приложения:
Похожие вопросы
Предмет: Английский язык,
автор: ilgizkg1997
Предмет: Русский язык,
автор: Аноним
Предмет: Русский язык,
автор: pleshirina
Предмет: Математика,
автор: Просто0пацан