Предмет: Алгебра,
автор: egorpar2
Помогите пожалуйста
Приложения:
Ответы
Автор ответа:
1
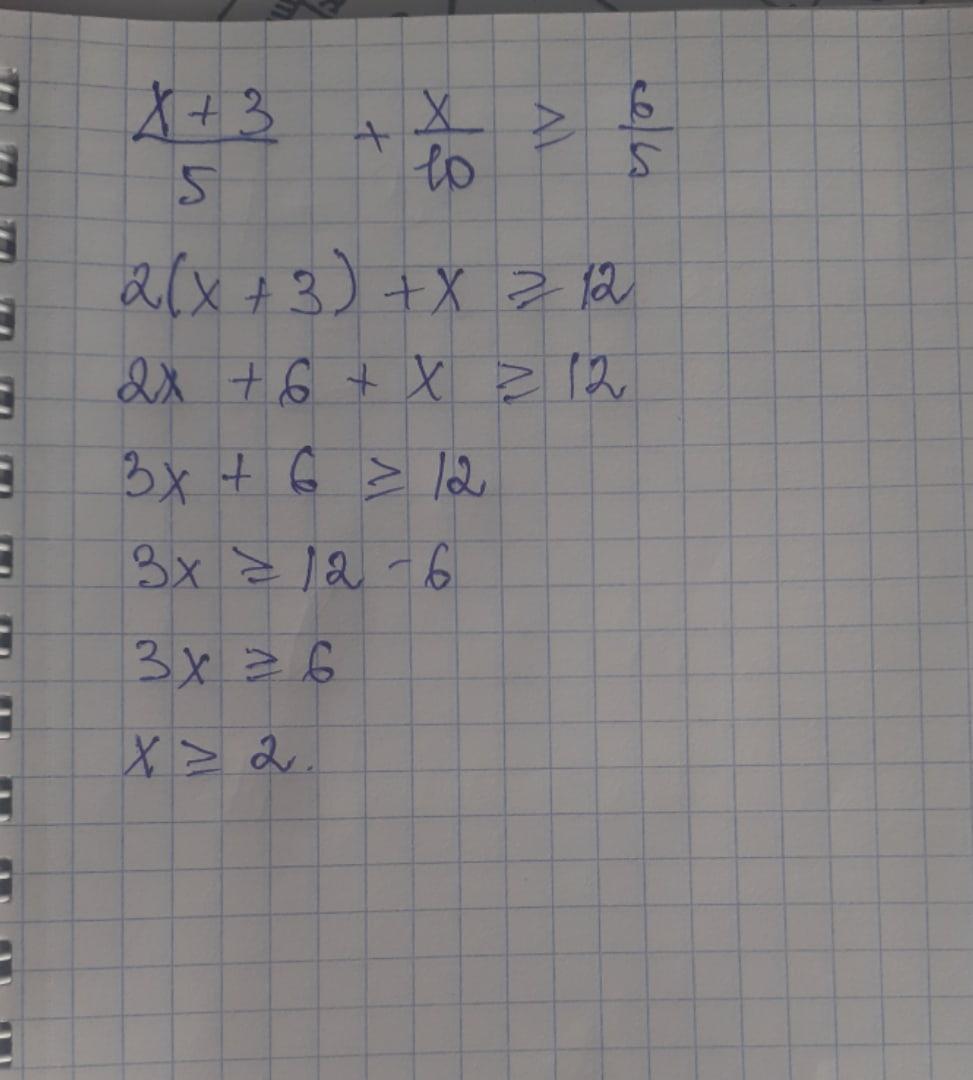
Ответ:
.........................................
Объяснение:
Приложения:
Похожие вопросы
Предмет: Русский язык,
автор: naboi
Предмет: Русский язык,
автор: kisris55
Предмет: Английский язык,
автор: antitupie
Предмет: Математика,
автор: Лнл1