Предмет: Математика,
автор: WHATYAGONNADO
вычисление интегралов методом замены переменной
Приложения:
Ответы
Автор ответа:
1
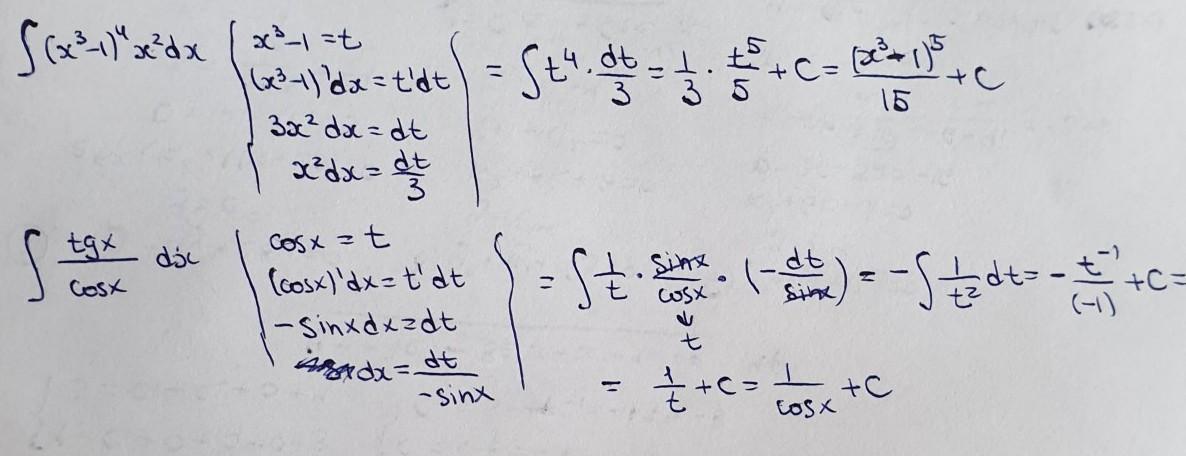
Ответ:
решение на фотографии
Приложения:
Похожие вопросы
Предмет: Русский язык,
автор: iucoryak2014лера
Предмет: Русский язык,
автор: asadurraxman
Предмет: Русский язык,
автор: ssg732
Предмет: Физика,
автор: NichegoNeznajka1