Предмет: Алгебра,
автор: pikapikafffpikacu51
Упростите выражение:
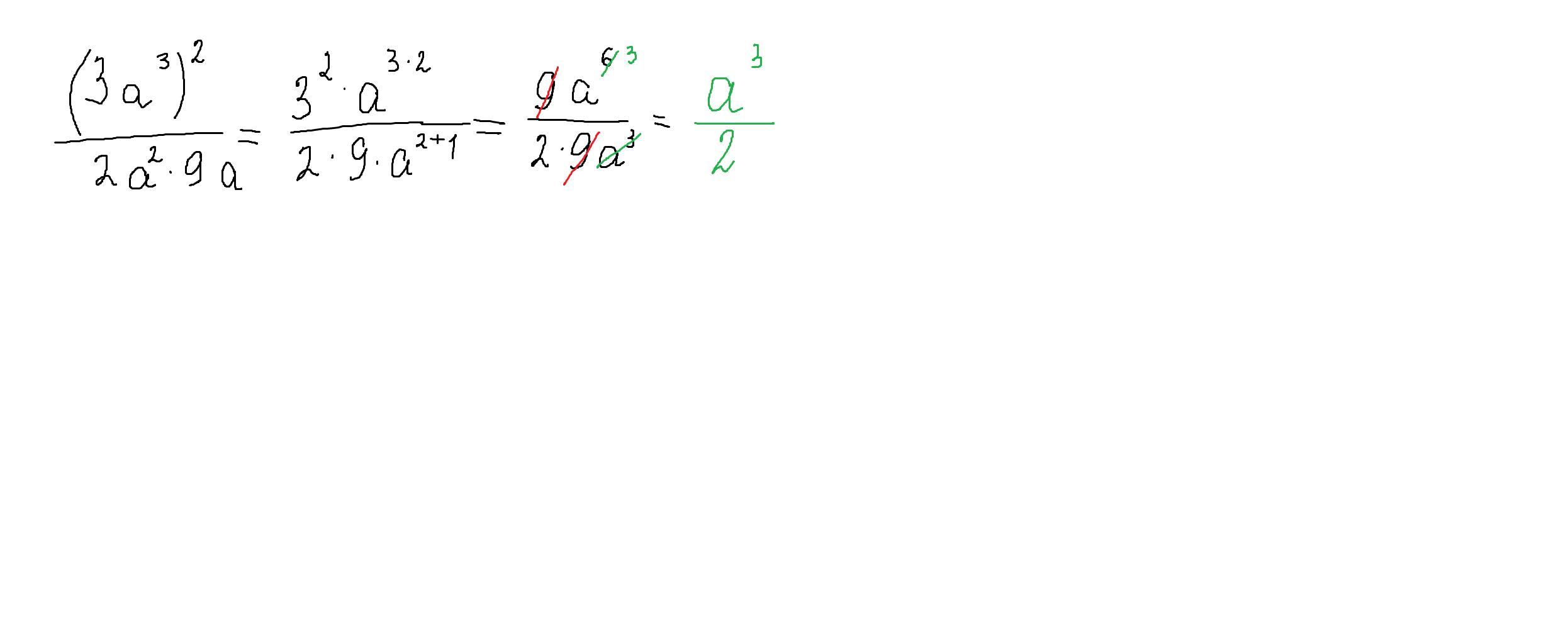
(3a³)²/2a²⋅9a
Ответы
Автор ответа:
1
Ответ:
а³\2
Объяснение:
решение внизу
Приложения:
Автор ответа:
0
Ответ:
9а^6/2а^2*9а=а^4/2а=а(а^3)/2
Похожие вопросы
Предмет: Русский язык,
автор: albinahasanova
Предмет: Русский язык,
автор: diaz777
Предмет: Русский язык,
автор: kiten14111991
Предмет: Музыка,
автор: MarkFAST
Предмет: Математика,
автор: маня192