Предмет: Алгебра, автор: barabanovk0

Решите пожалуйста Срочно ​

Приложения:

Miroslava227: Производная?
barabanovk0: да

Ответы

Автор ответа: Miroslava227
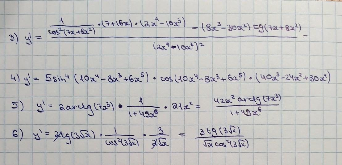
1

Ответ:

решение на фотографии

Приложения:
Похожие вопросы
Предмет: Русский язык, автор: 4815262342
Вставить пропущенные буквы

Балова(н,нн)ый ребёнок; насто..(н,нн)ый на травах чай; (не)раста..вший снег; ботинки ещё (не)выч..щ..(н,нн)ы; стел..щийся туман; завис..вший от родителей; что(то) бормоч..щий; умело кваше(н,нн)ая капуста; зан..веш..(н,нн)ое окно; свежемороже(н,нн)ая рыба; казнё(н,нн)ый преступник; давно (не)езж..(н,нн)ая дорога; овчи(н,нн)ый тулуп; бракова(н,нн)ый товар; (не)стриже(н,нн)ый мальчуган; счита(н,нн)ые дни; (не)зва(н,нн)ый на праздник сосед; собра(н,нн)ые ягоды; топлё(н,нн)ое в печке молоко; развеш..(н,нн)ое во дворе бельё; гости(н,нн)ый двор; румя(н,нн)ый малыш; (не)кош..(н,нн)ый луг; златокова(н,нн)ый сундук; поля засе..(н,нн)ы вовремя; ране(н,нн)ый боец; вывал..(н,нн)ый из ведра мусор; калё(н,нн)ые на огне орехи; брош..(н,нн)ый камень; белё(н,нн)ое полотно; окле..(н,нн)ая обоями комната; семена разве..(н,нн)ы ветром; хорошо слыш..вший; дремл..щий старик; неприемл..мый вариант; жела(н,нн)ый гость.
Предмет: Математика, автор: даниид772